Mantık, Matematik ve Felsefe III.Ulusal Sempozyumu

20-24 Eylül 2005, Foça

Çağrılı Konuşma

 

 

Özel Görelilik Kuramı

Timur Karaçay

Başkent Üniversitesi, Ankara

tkaracay@baskent.edu.tr

İçindekiler


 

Talihsiz bir Adlandırma: Relativity

Bazen büyük bilimsel bulgulara, o buluşun anlamını saptıracak talihsiz adlar verilir.  “Görelilik” de bunlardan biridir. “Her şey görelidir” deyince, Einstein’in büyük hayali çoğunlukla yanlış anlaşılıyor. Sanki ortada “doğru” bir şey yok, herkes kendi bakış açısını “doğru” imiş gibi ortaya sürmekte özgürdür gibisine yanlış bir izlenim doğuyor. Oysa Einstein, bunun tam tersini yaptı. O fizik kurallarının evrenselliğini, bakış açısına göre değişmezliğini gösterdi.

Önceki bölümde anlatıldığı gibi, görelilik kavramının doğuşu Einstein’dan çok öncedir. En azından Galilei’ye kadar geriye götürebiliriz. Newton, görelilik kavramını bilinçle kullanmış ve hareket yasalarını mutlak uzay ve mutlak zamana göre ifade etmiştir. Einstein’in özel görelilik kuramının Galilei ve Newton göreliliğinden farkı, uzayın ve zamanın mutlak olamayacağını söylemesidir. Matematiksel açıdan bakınca, Galilei dönüşümleri yerine Lorentz dönüşümünü kullanması ve çıkan sonuca yepyeni bir fiziksel yorum getirmesidir. Tabii, şimdi basitçe ifade ettiğimiz bu iş, o gün için hayal edilmesi zordu ve Einstein’in bu büyük hayali 20. yüzyıl başlarında fiziğe bakışımızı bütünüyle değiştiren büyük bir bilimsel bulgudur.

Konuya girmeden önce, kısaca söylemek gerekirse, Özel Görelilik kuramı, fizik yasalarının eylemsiz konuşlanma sistemlerinde aynı olduğunu söyler. Genel Görelilik Kuramı ise, bunu genelleştirir ve fizik yasalarının eylemli sistemlerde de aynı olduğunu söyler. Elbette, bu basit yargılar ortaya büyük fiziksel sonuçlar çıkardı. Bu ve bundan sonraki bölümde, o sonuçların bazısına değinebileceğiz. 

Özel Görelilik Kuramı

Newton Mekaniği 200 yıldan fazla bir süre fiziksel bilimlerin harika bir aracı oldu. Ona dayalı bir bilim ve teknoloji çağı yaratıldı. Halen bu çağın harikulade nimetlerinden yararlanıyoruz. Ama fizikçiler daha 19.yüzyıla girilirken, Newton Mekaniği’nin bazı doğa olaylarını açıklamakta yetersiz kaldığını sezmeye başlamışlardı. Nitekim, 1884 yılında Lord Kelvin Baltimore konferanslarında Fizik üzerinde dolaşan 19.yy bulutları ‘ndan sözediyordu. Newton Mekaniği’nin açıklayamadığı doğa olaylarından bazılarını sıralayabiliriz:

1.                   Işığın bir dalga hareketiyle yayıldığı genel kabul görmüştü, ama o dalgayı taşıdığı varsayılan ve uzayı dolduran ortamın (ether) var olduğunun kabul edilmesi çelişki yaratıyordu (Michelson-Morley deneyi).

2.                   Maxwell’in Elektrik ve Magnetizma denklemleri Newton Mekaniğinin temeli olan mutlak uzay ve mutlak zaman kavramlarıyla çelişiyordu.

3.                   Newton hareket yasalarıyla Merkür gezegeninin yörüngesi çok büyük bir duyarlılıkla hesaplanabiliyordu. Ancak, gözlem sonuçlarıyla hesap sonuçları arasında beliren küçük ama rahatsız edici bir fark ortaya çıkıyor, ama nedeni açıklanamıyordu.

4.                   Çok düşük ısıdaki maddeler Newton yasalarına göre hareket etmiyordu.

5.                   Newton fiziğine göre, sabit ısıdaki bir ocağın sonsuz enerjisi olmalıydı.    

 

Bu ve benzeri sorunların giderilebilmesi için fizikçiler çok uğraştılar, ama sonuç alamadılar. Sonuç çıkmamasını bu gün doğal karşılıyoruz, çünkü mutlak uzay ve mutlak zaman kavramlarına dayalı çözüm getirilemezdi. Başka bir deyişle, ortaya çıkan sorunların Newton Mekaniği ile çözülebilmesi olanaksızdı.

Çözüm yönünde ilk doğru adımı Lorentz attı. İkinci önemli adım ise, zamanın ünlü matematikçisi Poincare’den geldi. Bu ikisi, birbirlerinden bağımsız olarak, Görelilik Kuramı için gerekli bütün matematiksel araçları ortaya koymuşlardı. Ama onlar ortaya koydukları matematiksel formüllere fiziksel anlam veremediler.

Onları yorumlayıp, evrene bakışımızı değiştiren kuramı ortaya atan Albert Einstein oldu. 1905 yılında Özel Görelilik kuramını ortaya koydu. Bu kuramda Einstein, fizik yasalarının bütün eylemsiz sistemlerde aynı olduğunu gösterdi. Ama bu önemli sonuç onun için yeterli değildi. Fizik yasaları evrensel ise, eylemsiz sistemlerde olduğu gibi, eylemli sistemlerde de aynı olmalıydı. Bunun için gravitasyonu yaratan nedeni bulması gerekiyordu. Bunu bulması tam 10 yılını aldı. 1915 yılında da Genel Görelilik kuramını ortaya koydu. Bu iş, 1800 yıllık Aristo evren modelini 1543 yılında Copernicus’un yıkışından çok daha görkemli oldu.

Şimdi, Özel Görelilik Kuramı’nın zor olmayan matematiksel dayanaklarını ortaya koyabiliriz. Bunun için, öncelikle, görelilik kuramına giden yolu açan nedenleri ve onları açıklamakta kullanacağımız araçları anlamalıyız.

Maxwell  Newton’a Karşı

James C. Maxwell (1831-1879)’den önce, Gauss, Ampere ve Faraday elektrik ve magnetizma konusunda epey ilerleme kaydetmişlerdi. Ama bu iki kuram birbirinden farklı iki konu olarak algılanıyordu. Maxwell, elektromagnetik dalgaların varlığını gördü ve bunların hızlarını buldu. Elektrik ve magnetizma arasındaki ilişkileri kuran Maxwell denklemleri elektrik ve Magnetizma kuramlarını bireştirdi. Elektromagnetik dalgaların ışık hızıyla yayıldığını, başka bir deyişle, ışığın elektromanyetik dalgalar halinde yayıldığını ortaya koydu. Bu hızın elektrik  ve magnetizma alanlarından tamamen bağımsız bir sabit olduğunu belirledi. Böylece evrensel bir sabiti, ışık hızını, keşfetmiş oluyordu. [Çok duyarlı deneylerle, ışık hızı c=3x108 m/sn (yaklaşık 300 000 km/sn) olarak ölçülmüştür.]

Maxwell denklemleri kendi başlarına çok önemlidirler, ama ondan daha önemlisi görelilik kuramının doğuşuna yol açmış olmalarıdır. Maxwell denklemleri fizikte çözülmesi gereken önemli bir sorun yarattı. Bu sorunun ortaya çıkması, 20. yüzyıl başlarında fizik yasalarına bakışımızı tümüyle değiştiren bir olgu oldu. Bilim tarihine baktığımızda görüyoruz ki, ortaya bir sorunun  çıkması ve onun çözümü için uğraşılması, bilimsel sıçramaların nedeni olmuştur.   Maxwell denklemleri de bunlardan birisidir.

Galilei’nin Görelilik İlkesi fizik yasalarının her eylemsiz sistemde aynı olduğunu söylüyor. Bunu ışık hızı için yorumlarsak, ışık hızının mutlak olamayacağı, gözlemcinin ve ışık kaynağının içinde bulundukları sistemlere göre değişeceği anlamına gelir. Yukarıda anılan Galilei dönüşümü uyarınca, yerdeki bir gözlemci,  v hızıyla hareket eden bir kaynaktan çıkan ışığın hızını v+c olarak görmelidir (hızların toplamı ilkesi). Öte yandan, Maxwell ışık hızının her gözlemciye göre sabit ve sonlu bir değerde olduğunu söylüyor. O halde, Maxwell’e göre, bütün gözlemciler ışık hızını c olarak görecektir. Zaten deneyler de bunu gösteriyor. Eğer ışık hızı sonsuz olsaydı, Maxwell’in bulduğu sonuç Galilei’nin uzay ve zaman sistemi ile çelişmezdi. Ama,  Maxwell  ışık hızına denk olan elektromagnetik dalgaların hızının sonlu ve sabit olduğunu belirlemişti. Sorunun çözümü için fizikçiler işe koyuldu. 

Ether denen şey!

1.                   Işık elektromagnetik dalgalar biçiminde yayılıyorsa, bu dalgaların oluştuğu bir ortam olmalıydı. En geçerli görünen görüş “ether” kuramıydı. Ses dalgalarının yayılabilmesi için hava, su vb. bir ortamın olması nasıl gerekiyorsa, ışık dalgalarının da boşlukta yayılabilmesi için bir ortama gereksinimi var olmalıydı. Bütün uzay boşluğunu doldurduğu varsayılan bu maddeye ether denildi.

2.                   Maxwell deneylerinin belirlediği ışık hızı ether'e göreli olarak belirleniyor olmalıydı. Gözlenen ışık hızı Galilei dönüşümü altında olması gerektiğinden farklı ise (ki bu çok küçük bir farktır), bunun nedeni, fizik kurallarının her eylemsiz sistemde aynı olmaması değil, gözlemcinin eylemsizlik konuşlanmasının ether'e göre hareket ediyor olmasıydı.

Öyleyse, her şeyden önce ether’in varlığını kanıtlamak gerekiyordu. Bilimsel gelişme sürecinde, yapılması gereken iş açık seçik ortaya çıkınca onu yapacak birileri daima ortaya çıkar. Şimdi onun öyküsüne geçebiliriz.

Beklentilerin aksine, boşlukta ether olmadığı, ışık hızının gözlemcinin hızına (onun bulunduğu eylemsiz sistemin hızına) bağlı olmadığı, her sistemden aynı hızda göründüğü kanıtlandı.

Ortaya oldukça ilginç bir durum çıkmıştı. Maxwell denklemlerine Galilei dönüşümü uygulanınca, ışık hızı bir eylemsiz sistemden ötekine değişiyordu. Ama Michelson & Morley deneyi, ışığın her eylemsiz sistemden aynı göründüğü sonucunu veriyor ve böylece Maxwell’in deney sonuçlarını doğruluyordu. Yani ışık, Galilei Görelilik İlkesine uymuyor, her eylemsiz sistemde değişmez (invariant) c değerini alıyordu.

Michelson ve Morley   

1887 yılında Michelson ve Morley adlı iki amerikalı fizikçi, ether’in varlığını kanıtlamak için ilginç bir deney yaptılar. Deneye temel olan düşünce çok basitti. Bir ırmakta akıntıya karşı yüzmekle akıntı yönünde yüzmek arasındaki farkı düşününüz. Sabit u hızıyla yüzen bir cisim, hızı v  olan akıntı yönünde giderse, sabit bir referans sistemine göre, hızı (u+v), akıntıya karşı giderse (u-v), akıntıya dikey yönde giderse Ö(u2+v2) olur.

Dünya, ethere göre -v hızıyla gidiyor ise, tersine olarak, ether, dünyaya göre v hızıyla gidiyor olacaktır. O halde, etheri v hızıyla akan bir ırmak gibi düşünebiliriz. Dolayısıyla, etherin akış doğrultusuna göre  karşı yöne, aynı yöne ve dikey yöne gönderilecek ışık ışınlarının hızları farklı olmalıdır.

Şekil 2.1: Michelson-Morley Deneyi

 
. 

Michelson ve Morley bu basit ama zekice düşünceden hareket ettiler. Her yöne kolay dönebilsin diye cıva içinde yüzen bir platform kurdular ve platform üzerinde bir deney düzeneği yaptılar. Bir ışık kaynağından çıkan ışını, birbirlerine dikey  doğrultularda yerleştirilen aynalara yönlendirdiler. Aynalardan yansıyan ışını bir interfometre ile gözlediler. Birbirlerine dikey yönde gidip aynada yansıdıktan sonra dönen ışınların hızları farklı olduğunda, Doppler kayması denilen olayın interferometrede görünmesi gerekir. Platform her yöne hareket ettirilerek yapılan deneylerde, beklenen kayma gözlenemedi. Yani ışığın hızı her yönde aynı oldu.  Buradan çıkan sonuç şudur: Ya dünya hareketsizdir, ya da ether yoktur. Dünyanın hareket ettiğine kuşkumuz olamayacağına göre, ether yoktur sonucuna varmalıyız. Tabii, bu deneyin verdiği asıl sonuç, ışığın her yönde aynı hıza sahip olduğudur.

Lorentz, Poincare ve Minkowski

Şimdi problem şuna dönmüştü: Işığın hızı neden her eylemsiz sistemde aynı görünüyordu? Bunun fiziksel yanıtıyla ilgilenmeyen matematikçiler sorunu kolayca çözdüler. Galilei dönüşümü yerine, ışık hızını koruyan bir dönüşüm tanımladılar. Hendrik Antoon Lorentz (1853-1928) ışık hızını değişmez (invariant) kılan bir dönüşüm tanımladı. Henri Poincaré, Einstein’in Özel Görelilik Kuramını yayınlamasından önce, 1904 yılında, aynı işi yapan dönüşüm gruplarını tanımladı ve sorunu matematiksel açıdan bütünüyle çözdü. Hebert Minkowski’nin kurduğu geometri, henüz ortaya çıkmayan göreliliğin geometrik modeliydi. Böylece, görelilik kuramının matematiksel dayanağı hazır duruma gelmişti. Ama, ışık hızını sabit gösteren deneylere ve o hızı sabit kılan matematiksel yapılara fiziksel bir yorum getirilmeliydi. 

Bu yorumu 1905 yılında Einstein, Özel Görelilik Kuramı'nı ortaya atarak yaptı ve böylece fizikte yepyeni ufuklar açtı. Bu ufku açıklayabilmek için Lorentz dönüşümlerini ya da daha genel olarak Poincaré gruplarını incelemek gerekir. Genelliği ve estetiği bakımından ikincisi tercih nedenidir. Ama kısalığı nedeniyle, burada Lorentz dönüşümlerini ele alacağız. 

Lorentz Dönüşümü

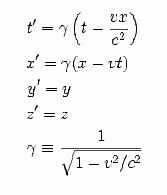
S ve S’ konuşlanma sistemlerinin başlangıç noktaları çakışsın ve S’ sistemi S sistemine göre v hızıyla Ox-ekseni boyunca hareket etsin. Başlangıç noktasını O(0,0,0,0) ile gösterelim. S sistemindeki noktaları (t,x,y,z) ile S’ sistemindeki noktaları da (t’,x’,y’,z’) ile gösterelim. Aşağıdaki denklemlerin tanımladığı dönüşüm Lorentz dönüşümüdür:

Formül 2.2: Lorentz dönüşümü

 

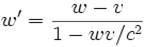
Formül  2.3: Hızların dönüşümü

 
Burada  g  Lorentz katsayısı ve c ışığın vakum içindeki hızıdır. Şimdi S sistemi içindeki bir gözlemci Ox-ekseni boyunca w hızıyla hareket eden bir cismi gözlesin. Aynı cismi, S’ sistemindeki gözlemci w’  hızıyla  gözlüyorsa, bu ikisi arasında   

bağıntısı varolacaktır. Bu bağıntıyı yukarıdaki dönüşüm formüllerinden kolayca elde ederiz. Şimdi bu bağıntıda S  sistemine göre cismin ışık hızıyla hareket ettiğini düşünelim. w=c  değerini eşitlikte yerine koyarsak w’=c  çıkar. Demek ki, S sistemine göre ışık hızıyla hareket eden bir cisim S’ sistemine göre de ışık hızıyla hareket etmektedir. Ohalde, Lorentz dönüşümü, Maxwell denklemlerinin Galilei dönüşümü altında ortaya çıkardığı sorunu çözmektedir. Ayrıca, w  ve v ışık hızına oranla çok çok küçük iseler, w’ = w - v  olur ki bu Galilei sisteminde hızların toplanması ilkesidir.

Buradan görüldüğü gibi, bir eylemsiz sistem ötekine göreli olarak sabit v hızıyla gidiyorsa ve v<<c ise, Lorentz dönüşümü Galilei dönüşümüne indirgenmiş olur. O halde, Galilei dönüşümü, Lorentz dönüşümünün özel bir halidir. Gerçekten, Maxwell'e kadar Galilei dönüşümüyle bir sorun yaşanmamış olmasının nedeni, ele alınan v hızlarının ışık hızından çok çok küçük olmasıdır.

Einstein: dahiler başkadır !

Maxwell denklemleri ve Michelson-Morley deneylerinden sonra Lorentz ve Poincare’nin ortaya koyduğu matematiksel çözüme fiziksel bir anlam vermek gerekiyordu. Lorentz ve Poincaré, birbirlerinden bağımsız olarak, bir eylemsiz sistemden ötekine geçişte ışık hızını değiştirmeyen dönüşümleri bulmuş olsalar da, buna fiziksel bir yorum getiremediler. 1905 yılında  Albert Einstein (1879-1955), Özel Görelilik Kuramını yaratan şu iki postulatı koyacaktır:

1.       Görelilik İlkesi: Mutlak dinginlik (hareketsizlik) yoktur. Bütün hareketler ya da hareketsizlikler, gözlenen bir başka nesneye görelidir. Bir cismin dingin halde mi, yoksa düzgün doğrusal hareket mi yaptığı mekanik deneylerle ayırdedilemez. Başka bir deyişle, bir referans noktasına göre sabit duran bir gözlemci ile o referans noktasına göre düzgün doğrusal hareket eden başka bir gözlemci, bütün hareket yasalarını aynı algılarlar. Gözlemcilerin hızlarına bağlı olmaksızın fizik yasaları her eylemsiz sistemde aynıdır.

2.        Işık hızı sabittir:  Gözlemcilerin birbirlerine göre hızları ne olursa olsun, ışık hızı bütün gözlemciler için aynıdır.

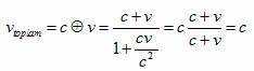
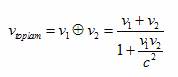
Elbette, Einstein Maxwell’in deney sonucunu postülat olarak alırken, deneyden  daha sağlam dayanaklara sahip olmalıydı. O dayanak, Lorentz dönüşümüydü. Lorentz dönüşümü kullanılırsa, iki hızın tolamı için

Formül  2.4: Hızların toplamı

 

 

formülü geçerli olmaktadır. Şimdi, yerdeki bir gözlemciye göre v hızıyla giden bir arabadan ileriye doğru bir ışık ışını salınsın.  v1= c (ışık hızı)   ve  v2= v  (arabanın hızı)  konulursa

Formül  2.5: Işık hızı her gözlemciye göre aynıdır.

 

 

eşitliği elde edilir. Buna sayısal bir örnek verelim. Hızları  v1= 0.9c = v2   olan iki cisim düşünelim. Newton fiziğine göre bu iki hızın toplamı 1.81c olmalıdır. Biraz sonra açıklayacağımız gibi, hiçbir cisim ışıktan hızlı gidemeyeceğine göre, bu olanaksızdır. Ama, Lorentz dönüşümüne göre, yukarıdaki toplam tanımını kullanırsak

Formül  2.6: Işıktan hızlı hareket yoktur

 

 

çıkar. Görüldüğü gibi, Einstein’in postülatı sağlam bir matematiksel dayanağa sahiptir.

Bu varsayımlardan yola çıkan Einstein, Newton Mekaniğinin temeli olan mutlak uzay ve mutlak zamanın var olmadığını,  zamanın ve uzunluğun gözlemcinin kullandığı konuşlanma sistemine bağlı olarak değiştiğini göstermiş, momentum ve enerji tanımlarına farklı bir bakış getirmiştir.  Şimdi bunları açıklamaya çalışalım.

Einstein-Minkowski Uzayzamanı

Metin Kutusu:

 

 

Şekil 2.7: Düz uzayzaman (flat spacetime)

 
 

 

 

 

 

 


Açıklamayı kolaylaştırmak için uzayı iki boyutlu xOy-düzlemi ile, zamanı buna dik olan  Ot-ekseni ile gösterelim. Bir olayı uzaydaki bir nokta olarak düşüneceğiz. Galilei uzay ve zaman sisteminde  zaman eksenine dik düzlemler eşanlı olayları belirler; yani xOy-düzlemine paralel bir düzlem içindeki bütün noktalar eşanlıdır (o olaylar aynı zamanda meydana gelmiştir). Bu mutlak zaman demektir, çünkü, bütün gözlemciler (nerede olurlarsa olsunlar) iki olay arasındaki zaman farkını aynı göreceklerdir.

Einstein-Minkowski uzayzamanı yukarıdakinden farklı algılanmalıdır. Özellikle, eşanlılık ilkesi tamamiyle farklıdır. 

Işık Konisi

Uzayzamandaki her olay (nokta) için, aşağıdaki yöntemle bir ışık konisi kuruyoruz. Gene anlamayı görsel kılmak için iki boyutlu uzay düşünelim. Koninin ekseni zaman eksenidir ve  olaydan (tepe noktası) geçer. Koni yüzeyi, eksenle 45 derecelik açı yapan doğrunun eksen etrafında dönmesiyle oluşur. Böylece, tepeleri çakışık ve olaya göre simetrik iki koni ortaya çıkar. Uzay (örneğimizde xOy-düzlemidir)  Ot-zaman eksenine diktir.

Şekil 2.8: Işık konisi

 

Işık konisinde birimin ışık-saniyesi olduğunu varsayalım. Işık-saniyesi, ışığın bir saniyede aldığı yoldur. Her olay için uzayxaman sisteminde böyle bir koni düşünebiliriz.

Işık konisi şu anlamı taşır. Işık ışınının yönü, o ışığın çıktığı kaynağın hareketine değil, ışının yayıldığı anlık olaya bağlıdır. Ayrıca, Einstein’in Görelilik İlkesi uyarınca, bütün gözlemciler, kendi hareketlerine bağlı olmaksızın, ışığın her yöndeki hızını aynı ölçerler. Bu şu anlama gelir. Her olayda bütün gözlemciler ışık konisinde anlaşırlar, onu evrensel olarak görürler.     

Eşanlılık (Eş Zamanlılık – simultaneity)

Lorentz Dönüşümü'nden sezinlenebileceği gibi, t=t' gibi basit bir bağıntı olmayacağına göre zaman göreli bir kavram halini almaktadır. Gerçekte bunun anlamı eşanlılık kavramının hangi eylemsiz konuşlanma sistemi içinde olduğumuza bağlı olduğudur. Bu durum, ışık hızının hangi eylemsiz konuşlanma sistemi içinde olduğumuza bağlı olmadığından çıkar.

Hareket halindeki bir tren vagonunun tam ortasında bir lamba olsun. Lamba yandığında ışık hüzmesi hem trenin gidiş yönüne hem onun ters yönüne c=3×108m/sn hızıyla yayılacaktır.

Vagonun içindeki bir gözlemci, ışığın vagonun önüne ve arkasına aynı anda (eşanlı) ulaştığını görecektir.

Öte yandan, tren dışındaki bir gözlemci için durum farklıdır. Işığın hızı, gözlemcinin içinde bulunduğu eylemsiz sisteme bağlı olmaksızın, her gözlemciye göre aynıdır ve vagonun her iki yönüne doğru c hızıyla gider. Vagonun arkası kendisine doğru gelen ışığa yaklaşırken, vagonun önü kendisine doğru gelen ışıktan uzaklaşmaktadır. Dolayısıyla, ışık vagonun arkasına daha çabuk, vagonun önüne daha geç ulaşacaktır. Demek ki, bu iki olay, yerdeki gözlemci için eşanlı değildir.

Görüldüğü gibi, tren içindeki gözlemciye eşanlı görünen iki olay tren dışındaki gözlemciye farklı zamanlarda olan iki olay olarak görünmektedir.

Oyunu biraz daha eğlenceli kılmak için, trenden daha hızlı giden bir yarış arabası içindeki gözlemcinin olayları nasıl göreceğine bakalım.

Gene, ışığın hızının, gözlemcinin içinde bulunduğu eylemsiz sisteme bağlı olmaksızın, her gözlemciye göre aynı olduğunu ve vagonun her iki yönüne doğru c hızıyla gittiğini anımsayalım. Yarış arabası trenden daha hızlı olduğu için, arabadaki gözlemciye göre tren ters yönde gitmektedir. Dolayısıyla, vagonun önü kendisine doğru gelen ışığa yaklaşırken, vagonun arkası kendisine doğru gelen ışıktan uzaklaşmaktadır. Dolayısıyla, ışık vagonun arkasına daha geç, vagonun önüne daha erken ulaşacaktır. Demek ki, bu iki olay, arabadaki gözlemci için eşanlı değildir.

Sonuç: Bir vagonda geçen iki olayın kronolojik sırası yerdeki, vagondaki ve trenden hızlı giden bir araçtaki üç gözlemci tarafından farklı farklı görünmektedir. Yerdeki gözlemciye göre önce olan olay, arabadaki gözlemciye göre sonra olan olaydır. O halde, farklı eylemsiz sistemlerde eşanlılık olamaz.

Işıktan Daha Hızlı Hareket

Eğer öncelik, eşanlılık ve sonralık kavramları gözlemciye göre değişiyorsa, bir olayın başka bir olayı yarattığı nedensellik (casuality) kavramını nasıl açıklayacağımızı ciddi olarak düşünmeliyiz.

Bunu biraz açıklamakta yarar vardır. Eğer bir A olayı başka bir B olayının olmasının nedeni ise, A olayı B olayından önce olmalıdır. Ama, bir gözlemci A olayının B olayından önce olduğunu, başka bir gözlemci ise A olayının B olayından sonra olduğunu gözlüyorsa, nedensellik konusunda bir uyuşmazlık ortaya çıkacaktır.

Bir A noktasından atılan bir ok B noktasındaki elmayı vursun. Okun atılışına A olayı, elmanın vuruluşuna da B olayı diyelim.

Önceki bölümde ele aldığımız uzayzaman diyagramlarını bu iki olay için tekrarlayalım:

  1. A  da ok atıldı 
  2. Atılan ok  A ve B yi birleştiren doğru boyunca yol aldı. 
  3. Ok  B ye ulaşınca elmayı vurdu.

Şekil 2.9: Eşanlılık yoktur

 
                      

(x,t) sisteminde, ok atıldıktan  sonra elma vurulur. (x',t') sisteminde, okun atılışı ile elmanın vuruluşu   eşzamanlıdır. (x'',t'') sisteminde, elma ok atılmadan önce vurulmuş olacaktır. Bu çelişki nereden geliyor? Biraz düşününce, çelişkinin kaynağını göreceğiz. A dan B ye giden okun ışık hızından daha hızlı hareket ettiğini varsayıyoruz. Oysa, görelilik kuramına göre hiç bir cisim ışık hızından daha hızlı gidemez.  

Saatlerin Eşanlaştırılması (Synchronization)

Eşanlılık kavramının göreli oluşu bazı sonuçlar doğuracaktır. Bu sonuçlardan birisi şudur:  Bir konuşlanma sistemi içinde eşanlaştırılan (senkronize edilen) saatler başka bir sistem içinden eşanlaşmamış (senkronize olmamış) görünür.

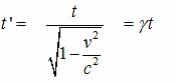
Zaman Gecikmesi (Time Dilation)

Eşanlılık kavramının göreliliğinin önemli sonuçlarından birisi şudur: Farklı eylemsiz konuşlanma sistemlerinde zamanın akış hızı farklıdır. Buna  zaman genişlemesi (time dilation) diyoruz. 

İki saatin hızını karşılaştırmak için, şöyle basit bir yol izlenebilir.

  1. Bir başlangıç anı seçilir ve her iki saatin o anda (aynı anda) aynı zamanı göstermesi (senkronize) sağlanır.
  2. Aradan belli bir süre geçtikten sonraki bir anda (aynı anda) her iki saat okunur.

Bu işi yaparken, parantez içindeki  "aynı anda" deyimini söylemeye bile gerek görmüyoruz. Çünkü o yapacağımız mukayese için doğal olarak gereklidir. Oysa   "aynı anda"  deyimi "eşanlılık" deyimidir. Ama biliyoruz ki, farklı gözlemcilere göre  "eşanlılık" olamaz.

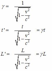
Formül 2.10: Zaman gecikmesi

 

Bunu uzayzaman çizeneğinden görebiliriz. (x,t) ve (x',t') eylemsiz sistemlerinin başlangıç noktaları belli bir anda çakışık olsun. Bu çakışma anında saatleri senkronize edelim. (Yukarıdaki 1. Adım). (x,t) sistemine göre (x',t') sistemi sabit bir v hızıyla hareket ediyor varsayalım. Bir  süre sonra, saatler birbirinden uzaklaşacak ve onları üst üste çakıştırıp aynı anda gösterdikleri zamanı okuma olanağı kalmayacaktır. (x,t) sistemindeki gözlemci  belli bir anda kendi saati ile  (x',t')  sistemindeki saati mukayese edince, öteki saatin geri kaldığını görecektir. Tersine olarak, (x',t') sistemindeki gözlemci  aynı anda kendi saatini   (x,t)  sistemindeki saat ile mukayese edince, öteki saatin geri kaldığını görecektir. Başka bir deyişle, her gözlemci, ötekinin saatinin yavaş gittiğini görecektir. Bunun nedeni, eşanlılık olduğunu varsaymamızdır.

Lorentz Büzülmesi

Eşansızlık kavramının sonuçlarından birisi de uzunlukların gözlemciye bağımlı olarak değişmesidir.
Bir şeyin uzunluğunu nasıl ölçeriz? Uzunluğu ölçülecek cismi bir eksen (skalası olan bir doğru) üzerindeymiş gibi düşünür ve cismin iki ucunun skaladaki karşılıklarını okur, bunlar arasındaki farkı buluruz. Bulduğumuz fark o cismin uzunluğudur.

Acaba, konu bu kadar basit midir? Basit olmadığını bir örnekle açıklayalım.

Bir tren vagonunun uzunluğunu ölçmek isteyelim. Tren istasyonda duruyor iken, vagonun iki ucu arasındaki rayın uzunluğunu ölçersek, trenin uzunluğunu bulabiliriz. Ama tren hareket ediyorsa ne yapabiliriz? Vagonun arka ucunun ray üzerindeki izdüşümünü işaretleyip, ön ucu için aynı işi yapmak üzere öne doğru çok çok hızla gitsek bile, tren hareket halinde olduğu için belli bir yol alacak ve ölçümlememiz vagonu daha uzun gösterecektir. Tersine olarak, önce vagonun önünden ölçümlemeye başlasak, bu kez tren olduğundan daha kısa çıkacaktır. Tabii, pratikten kaynaklanan bu sorunu çözmek kolay görünüyor. Vagonun her iki ucun için ölçümlemeyi aynı anda (eşanlı) yaparız.  Oysa bu iş, ancak aynı konaç sisteminde isek yapılabilir. Farklı konaç sistemlerindeki gözlemciler için eşanlılık yoktur.

Vagon içindeki gözlemci, vagonun ön ve arkası arasındaki uzunluğu, kendi kon sistemine göre, vagonun ön ve arka duvarlarını eşzamanlı olarak eksen üzerine izdüşürerek, vagonun uzunluğunu  L' olarak ölçsün. Yerdeki gözlemci de kendi kon sistemine göre, vagonun uzunluğunu L olarak ölçsün. Trenin hızı v ise, Lorentz dönüşümüne göre L ile L' arasında

Formül 2.11 : Lorentz büzülmesi

 
 

bağıntısı vardır. Buradan görüldüğü gibi, L > L'  dür.  Bu demektir ki, yerdeki gözlemci hareketli treni daha kısa görecektir. Bunun nedeni, farklı gözlemciler arasında eşanlılık olamayışıdır. Bu etkiye Lorentz Daralması (Lorentz contraction)  diyoruz. 

Hareketsiz iken cismin uzunluğuna onun doğal uzunluğu diyoruz. Bir cismin doğal uzunluğu, hareket halindeki uzunluğundan daha büyüktür. Başka bir deyişle, hareket eden cisimler (hareket yönünde) daha kısa görünürler. Lorentz Dönüşümü bu daralmanın oranını vermektedir.  

Eylemsiz Kon Sistemlerinin Denkliği

Yerdeki bir gözlemciye göre (sabit eylemsiz kon sistemi), hareketli eylemsiz sistemdeki uzunlukların küçüldüğünü ve saatlerin yavaşladığını söyledik.  

Öte yandan, trendeki bir gözlemciye göre, trenin eylemsizlik kon dizgesi sabittir, yerdeki eylemsiz kon sistemi ise (trene göre ters yönde) hareket etmektedir. Bütün eylemsiz kon sistemleri denk olduğuna göre, trenden bakınca yerdeki uzunlukların küçüldüğünü ve saatlerin yavaşladığını gözlemlemeliyiz.

İkizler Çatışkısı (The Twin Paradox)

Yirminci yaş gününde ikiz kardeşlerden birisi çok hızlı giden bir gemiyle uzay yolculuğuna çıksın. Seyahat, dünya zamanına göre yıllar  (diyelim 40 yıl) sürsün. Dünyadaki konaç sistemine göre, hızlı uzay gemisinde zaman genişlemesi (yavaşlaması) olacağından, seyahat eden ikiz daha az yaşlanacaktır (diyelim 10 yıl). Geri döndüğünde, dünyadaki kardeşi 60 yaşında, kendisi ise 30 yaşında olacaktır.

Öte yandan, hareket göreli olduğu için, uzay gemisindeki konuşlanma sistemine göre, dünya gemiden hızla (ters yönde) uzaklaşmaktadır. Aynı nedenle, bu kez, gemideki ikiz 60 yaşında, dünyadaki ikiz ise 30 yaşında olacaktır. Bu bir paradoks gibi görünmektedir. Çözüm için kendinizi deneyiniz.

Kütle ve Enerji

Newton Mekaniğinde kütlesi m olan bir cisim v hızıyla hareket ediyorsa kinetik enerjisi mv2/2 dir. Oysa görelilik fiziğinde bir parçacığın enerjisi dingin (rest) enerji ve kinetik enerji diye ikiye ayrılır. Toplam enerji ise bu ikisinin toplamıdır:

                Enerji = Dingin Enerji + Kinetik Enerji

Öte yandan, Einstein’e (1879-1955) göre, dingin enerji dingin haldeki maddenin kütlesinden başka bir şey değildir. Dolayısıyla,  kütle ve enerji bireşmektedir.

Covariant (Eşdeğişirlik)

Newton Mekaniğinde ve Öklit Geometrisinde geçen “invariant - değişmez” terimi yerine, Einstein, Görelilik Kuramında ve Eğri Uzayda, “covariant - eşdeğişir” terimini koymaktadır. Örneğin, bir K konuşlanma sisteminden başka bir K’ konuşlanma sistemine geçildiğinde zaman, uzunluk, kütle, momentum, potansiyel, enerji fiziksel nicelikleri Lorentz katsayısıyla orantılı değişir. Bu özelik, Özel Görelilik Kuramının matematiksel ifadesidir. Bu kuralı basitçe ifade edebiliriz. 

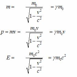
g   Lorentz çarpanı olmak üzere bir eylemsiz sistemden ötekine geçildiğinde  zaman, uzunluk, kütle, momentum ve enerjideki değişimler, sırasıyla, şöyledir:

t’ = g t,      L’ =  g L ,    m = g m0  ,  p’ = g p ,  E’ =  g E  .

Bunları açık yazalım:

Formül 2.12: Eşdeğişirlik (covariance)

 
                  

 

Bu bağıntıların ışığında Özel Görelilik Kuramını daha açık ifade edebiliriz.

Özel Görelilik:

Doğa kanunları herhangi K ve K’ eylemsiz konuşlanma sistemlerinde eşdeğişimlidir. Bu demek, birisinde geçerli olan fizik kuralı, Lorentz dönüşümü altında ötekinde de geçerlidir.

Sonuç

Esasında, Görelilik İlkesi Galilei sisteminde mevcuttur.  Konuşmanın bu bölümünde Einstein’in Özel Görelilik Kuramı’nın ne olduğunu açıklamaya çalıştık. Söylenenler aklınızda karışmış olabilir. Eve götürmeniz için aşağıdakileri ayıklıyoruz:

1.                   Işığın hızı bütün eylemsiz sistemlerde aynıdır, gözlemcinin ya da ışık kaynağının hızına göre değişmez[1].

2.                   Eşanlılık göreli bir kavramdır. İki olayın oluş sırası, gözlemcinin eylemsiz sistemine bağlıdır.

3.                   Işıktan hızlı hareket olamaz. Olduğu taktirde, nedensellik (causality) bozulur.

4.                   Zaman gecikmesi ve uzunluk kısalması gibi ilginç fenomenler ortaya çıkar.

5.                   g   Lorentz çarpanı olmak üzere bir eylemsiz sistemden ötekine geçildiğinde  zaman, uzunluk, kütle, momentum ve enerjideki değişimler Lorentz katsayısıyla orantılıdır. Bu özeliğe eşdeğişirlik (covariant) denir.

6.                   Fizik bazen eğlencelidir!

Devamı: Genel Görelilik Kuramı - GR.doc)



[1] Işığın hızından sözederken daima vakum içindeki hızını anlayacağız.

Devamı :Genel Görelilik Kuramı